平面层谐振抑制参数如何确定?
平面层(如电源层和地层)的谐振现象可能会引发一系列电磁兼容性(EMC)问题,影响电路的稳定性和信号完整性。为确保电路的可靠运行,工程师需要精准确定平面层谐振抑制参数,本文将为你详细解析。
观察现象:识别谐振特征
在确定平面层谐振抑制参数之前,准确识别谐振现象至关重要。谐振通常表现为电源完整性(PI)仿真或测量中的电压波动,在电磁干扰(EMI)测试中则可能表现为特定频率下的干扰峰值。例如,在某些复杂的高速数字电路中,可能会观察到在几百兆赫到几个吉赫兹频率范围内的干扰峰值。这些峰值往往与平面层的谐振频率相对应。
计算:找到问题根源
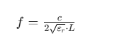
要确定谐振抑制参数,首先需要计算平面层的谐振频率。一个简化的公式可以帮助工程师快速估算谐振频率:

其中:
- \( f \) 是谐振频率;
- \( c \) 是光速(约 \( 3 \times 10^8 \) 米/秒);
- \( \varepsilon_r \) 是 PCB 材料的相对介电常数;
- \( L \) 是平面层的长度。
假设 PCB 材料的相对介电常数为 4.0,平面层的长度为 10 厘米(0.1 米),代入公式可得谐振频率约为 3.75 吉赫兹。这个频率就是平面层可能产生谐振的起始点。
设计阻尼:抑制谐振
一种常见的谐振抑制方法是在平面层之间添加阻尼结构,如电阻或磁性材料。阻尼电阻的取值范围通常在几欧姆到几十欧姆之间。例如,如果谐振频率下的阻抗约为 50 欧姆,阻尼电阻可选择 10 至 20 欧姆,以有效消耗谐振能量。
吸振元件:精准打击谐振
吸振元件(如吸振电容或铁氧体磁珠)也是抑制谐振的有效手段。吸振电容的取值范围通常在皮法到纳米法之间。例如,在谐振频率为 3.75 吉赫兹的情况下,可选择 10 皮法到 100 皮法的电容。铁氧体磁珠则需根据其 datasheet 选择在目标谐振频率下具有高阻抗的型号。
叠层优化:从源头解决问题
优化 PCB 叠层设计是抑制平面层谐振的重要策略。将电源层和地层紧密相邻,可以减小平面层之间的间距,从而提高谐振频率,使其超出电路的工作频率范围。例如,如果原来的间距为 10 密耳,可以尝试减小到 5 密耳或更小。此外,增加电源层和地层的厚度也可以增强其抗谐振能力。
仿真与测量验证:确保方案有效
利用电磁仿真工具(如 HFSS 或 SIwave)对平面层进行建模和仿真,可以预测谐振频率并验证所选抑制参数的有效性。同时,使用网络分析仪测量平面层的 S 参数,可以进一步确认谐振是否得到有效抑制。
微信小程序
浙公网安备 33010502006866号